近日,美女视频
的副教授陈杨和学院教授张超合作,建立了纤维增强复合材料基于细观力学理论的粘弹-粘塑性本构模型,实现了复合材料非线性弹塑性响应、应变率效应和蠕变/松弛行为的准确和快速预报。该理论模型可应用于复合材料的多尺度仿真分析中以显著提升仿真效率。该研究成果发表在工程技术和力学领域顶刊《International Journal of Engineering Science》上。
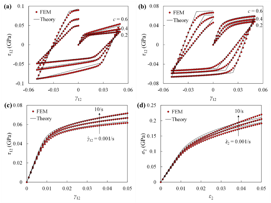
该文针对连续纤维增强树脂基复合材料表现出的非线性弹塑性响应、应变率效应、蠕变/松弛行为等力学特性,克服了各种特性相互耦合造成的理论困难,建立了一种均匀化方法,将复合材料的等效粘弹-粘塑性行为解耦为弹塑性和粘性两部分。并通过细观力学理论,分别推导出等效弹塑性和等效粘性行为的理论近似模型,从而实现复合材料等效粘弹-粘塑性响应的快速和精确预报。同时,构建了本构模型的数值实现方法,以实现理论模型在复合材料多尺度仿真中应用。随后,该文通过系统的数值仿真和试验,验证了所建本构模型的高预报精度。

理论预报结果与有限元仿真结果对比
基于细观力学理论的复合材料非线性力学行为的本构建模一直是复合材料力学领域内研究的难点,其根本原因是多种力学特性耦合造成了理论推导上的极度复杂性。该文巧妙地将粘弹-粘塑性力学特性进行解耦和近似简化,使得复杂的理论建模过程变得简单可行。相较于文献中已有的本构模型,本文建立的本构模型具有显式的简单表达式,计算效率高。在复合材料的多尺度仿真分析中,该本构模型能够代替微观尺度仿真,实现粘弹-粘塑性力学响应的精确和快速预报,可显著提升多尺度仿真效率。该工作以Micromechanical modeling of the viscoelastic–viscoplasticresponse of fiber-reinforced composites为题发表于International Journal of Engineering Science(影响因子7.155,大类、小类均为一区,TOP期刊)。论文第一作者为陈杨副教授,通讯作者为陈杨副教授和张超教授,论文作者还包括美女视频
研究生南天和首尔国立大学Gun Jin Yun教授。该研究得到了国家自然科学基金、陕西省国际科技合作重点项目、美女视频
科研启动基金等项目的资助。

论文发表情况
陈杨长期致力于复合材料、多孔材料等非均匀材料的非线性力学行为本构建模和多尺度分析方法研究。本文的工作是其在前期的研究基础上不断积累和突破取得的成果。陈杨副教授目前已在International Journal of Engineering Science、Composites Science and Technology、AppliedMathematical Modelling等力学和复合材料领域一流期刊上发表论文20余篇,主持或承担国家自然科学基金、陕西省国际科技合作重点项目、百万级型号研制项目等各类科研项目10余项。
(文/陈杨 图/陈杨 审核/张超)